Sie verwenden einen veralteten Browser, der von LabXpert nicht mehr unterstützt wird. Bitte nutzen Sie LabXpert mit einem der vorgeschlagenen Browser, wie z.B. Google Chrome, Mozilla Firefox, Microsoft Edge oder Apple Safari. Vielen Dank!

Absinthii herba

Pflanze, Zeichnung *
Pflanze, Zeichnung *
Droge, Foto ****
Droge, Foto ****
Pflanze, Foto **
Pflanze, Foto **
Pflanze, Foto ***
Pflanze, Foto ***

Droge: Absinthii herba / Wermutkraut

Pflanze: Artemisia absinthium / Gemeiner Wermut

Familie: Asteraceae / Korbblütler

Gruppe: Sesquiterpenlacton- / Iridoid- (Bitterstoff-) Drogen

Herkunft: Nordafrika, Südeuropa

Morphologie: 

  • Ausdauernde, meist krautige Pflanze mit Wuchshöhen von 40 bis 60, gelegentlich bis 150 cm
  • Pflanze erscheint oberirdisch gräulich-grün und duftet stark aromatisch

Inhaltsstoffe
  • Blätter enthalten ca. 0,3%, die Blüten etwa 0,15% Bitterstoffe; Hauptverbindungen sind die Sesquiterpenlactone Absinthin (BW: 12 700 000) und das isomere Anabsinthin (bildet sich im Sauren durch eine Ringschlussreaktion aus Absinthin)
  • weiteres Sesquiterpenlacton Artabsin ist nur in der frischen Pflanze nachweisbar
  • Wasserdampfdestillation liefert 0,2-1,3% dunkelgrünes bis blaues ätherisches Öl (Farbe durch Chamazulen, das bei der Destillation aus genuinem Artabsin gebildet wird
  • Quantitative Hauptbestandteile des ätherischen Öls sind Thujon und Thujylalkohol (Monoterpene)

Absinthin
Absinthin
Artabsin
Artabsin
Thujon
Thujon
Thujylalkohol
Thujylalkohol
Chamazulen
Chamazulen

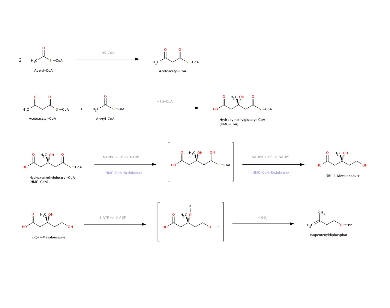
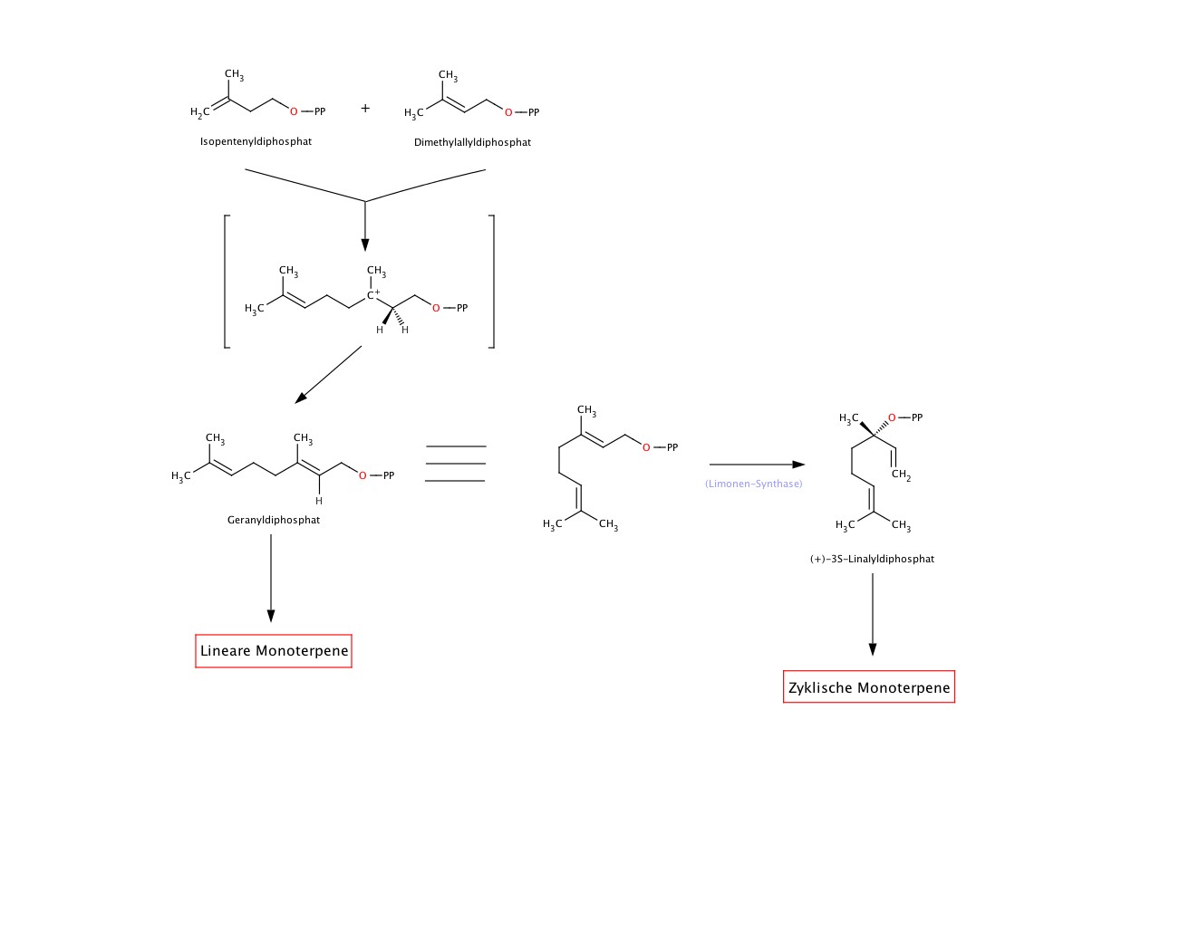
IPDP
IPDP
Monoterpene 1
Monoterpene 1
Monoterpene 2
Monoterpene 2
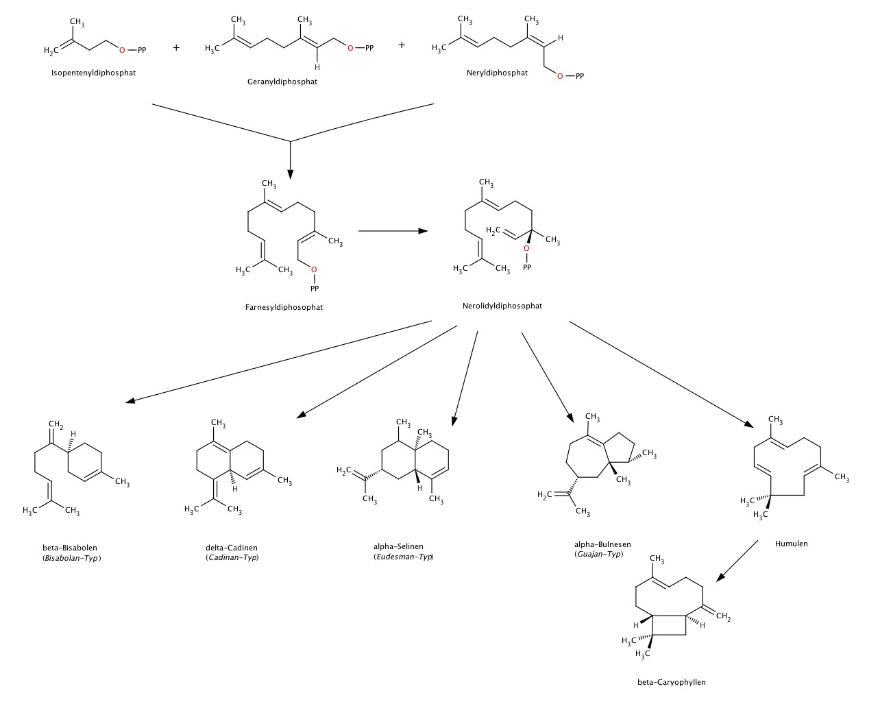
Sesquiterpene
Sesquiterpene

Allgemein: Getrocknete Zweige der blühenden Pflanze mit bis zu 4 mm dicken Stängelanteilen; aromatisch und zugleich bitter schmeckende Droge

Mikroskopie:
Asteraceen-Drüsenschupppen, T-Haare, Pollen (wenn nicht vorhanden → Droge nicht arzneibuchkonform)

Besonderheiten
  • Bitterwert Absinthin: 12,7 Mio!; Artabsin und Chamazulen sind azulogen (BW je 500.000)
  • „Absinth“ als berauschendes Getränk (vgl. Vincent Van Gogh, Charles Baudelaire) war lange Zeit verboten, heute ist der Thujon-Gehalt in (alkohol.) Getränken limitiert!
  • Weitere bedeutsame Artemisia-Arten: A. annua (Einjähriger Beifuß), A. vulgaris (Gemeiner Beifuß), A. cina (Wurmsamen), A. afra (Afrikanischer Wermut) A. dracunculus (Estragon)
  • Das Sprichwort "Wermutstropfen" spielt darauf an, dass etwas an sich Positivem eine Komponente von "Bitterkeit", im Sinne von Verbitterung, beigefügt ist.

Mono-Präparate

  • Wermutsaft Duopharma®
  • Wermutsaft Allpharma®
  • Sidroga® Wermuttee
  • H&S® Wermutkraut

Kombi-Präparate

  • Salus Leber-Galle Tropfen®
  • Schwedenkräuter (verschiedene Hersteller)
  • Vertri Loges®
  • Gastritol® Liquid
  • Abdomilon® N Sirup

Premium-Login

Melden Sie sich für Ihren persönlichen Premium-Bereich auf pharma4u.de an.

Noch keinen Zugang? Jetzt registrieren

Kontakt

Brauchen Sie Hilfe? So erreichen Sie uns.